⚠️ Avis médical
Cet article est fourni à titre strictement informatif et ne remplace en aucun cas une consultation avec un professionnel de la santé qualifié. Les informations présentées s’appuient sur les données scientifiques disponibles au moment de la rédaction. Consultez toujours votre médecin avant d’entamer une supplémentation, particulièrement si vous suivez un traitement médical.
Plus de 50 années de recul clinique confirment l’efficacité d’une molécule souvent ignorée au profit d’antioxydants plus populaires. La NAC (N-acétylcystéine) n’est pas une simple vitamine à la mode, mais le traitement médical de référence mondialement reconnu pour sauver un foie en détresse. Aujourd’hui, la recherche dévoile comment ce puissant précurseur cellulaire peut transformer votre santé respiratoire, métabolique et mentale, à condition de savoir l’utiliser correctement.
💡 Key Takeaways
- La NAC est le précurseur direct du glutathion, le principal antioxydant intracellulaire du corps humain.
- Elle possède une efficacité cliniquement prouvée pour détoxifier le foie et fluidifier le mucus respiratoire.
- Des recherches émergentes soulignent son potentiel dans la régulation de l’humeur et la fertilité (SOPK).
- Son utilisation nécessite des précautions strictes, notamment en cas de prise de dérivés nitrés ou d’asthme sévère.
Qu’est-ce que la N-Acétylcystéine (NAC) exactement ?
Pour comprendre la puissance de cette molécule, il faut observer sa structure biochimique singulière. La N-acétylcystéine est un dérivé synthétique et acétylé de la L-cystéine, un acide aminé naturellement présent dans notre organisme. Cette modification chimique spécifique lui confère une stabilité exceptionnelle face au métabolisme digestif.
Son statut hybride en fait une substance fascinante pour les chercheurs. Approuvée par la FDA depuis 1963 comme médicament, la NAC figure sur la liste des médicaments essentiels de l’Organisation Mondiale de la Santé (OMS). Pourtant, elle reste largement accessible sous forme de complément nutritionnel dans de nombreux pays.

La fonction primaire de ce composé repose sur sa capacité à agir comme un donneur de thiol. Ce groupe fonctionnel soufré permet à la molécule de neutraliser directement certains radicaux libres. Cependant, son rôle le plus crucial réside dans sa capacité à restaurer vos réserves de glutathion intracellulaire lorsque le corps subit un stress oxydatif majeur.
Sur le plan pharmacocinétique, son absorption intestinale est rapide, mais sa biodisponibilité orale reste inférieure à 10% chez l’adulte. Le foie capte immédiatement la majorité de la molécule pour synthétiser ses propres défenses antioxydantes, expliquant son tropisme hépatique si prononcé.
Les 8 bienfaits de la NAC validés par la science
La littérature médicale regorge d’études documentant les bienfaits de la NAC sur divers systèmes physiologiques. Son action systémique s’explique par la présence ubiquitaire du glutathion dans toutes les cellules humaines. Voici les domaines où les preuves cliniques sont les plus robustes.
1. Protection hépatique et détoxification d’urgence
Le foie est l’organe qui bénéficie le plus directement de cette supplémentation. En milieu hospitalier, l’administration intraveineuse de NAC est le protocole standard mondial pour traiter l’overdose de paracétamol (acétaminophène). Cette intervention médicale prévient la nécrose hépatique fulminante.
Lors d’une intoxication, le paracétamol épuise le glutathion hépatique, laissant des métabolites toxiques détruire les cellules. En fournissant massivement de la cystéine, la NAC pour le foie relance la production d’antioxydants et neutralise les toxines avant que les dommages ne deviennent irréversibles.
💡 Conseil d’expert
Au quotidien, une cure modérée peut soutenir les voies de détoxification du foie face aux agressions environnementales (pollution, alcool, métaux lourds), bien que cela ne remplace jamais une hygiène de vie saine.
2. Santé respiratoire et action mucolytique

L’efficacité pulmonaire de cette molécule est reconnue depuis des décennies. En tant qu’agent mucolytique, la N-acétylcystéine brise physiquement les ponts disulfures qui lient les protéines du mucus entre elles. Les sécrétions épaisses deviennent ainsi plus fluides et faciles à expectorer.
Les patients souffrant de bronchopneumopathie chronique obstructive (BPCO) en tirent un bénéfice majeur. Une méta-analyse de 2015 portant sur plus de 4000 patients a démontré qu’une dose quotidienne de 1200 mg réduit significativement la fréquence et la gravité des exacerbations respiratoires.
« L’utilisation à long terme de la N-acétylcystéine chez les patients atteints de BPCO réduit de manière cliniquement significative le risque de poussées inflammatoires, améliorant ainsi la qualité de vie globale. » European Respiratory Review (2015)
3. Soutien psychiatrique et neurologique
L’axe cerveau-intestin et la neuro-inflammation sont des domaines de recherche en pleine explosion. La NAC démontre une capacité étonnante à moduler le glutamate, le neurotransmetteur excitateur le plus abondant du cerveau. Un déséquilibre de ce neurotransmetteur est souvent impliqué dans divers troubles de l’humeur.
- Troubles obsessionnels compulsifs (TOC) : Des études préliminaires montrent une réduction des comportements répétitifs.
- Addictions : Elle aide à atténuer le « craving » (besoin irrépressible) lié à la cocaïne et au cannabis.
- Dépression bipolaire : Utilisée en traitement d’appoint, elle semble stabiliser les phases dépressives.
4. Fertilité et Syndrome des Ovaires Polykystiques (SOPK)
Le stress oxydatif joue un rôle délétère dans les troubles de la fertilité. Chez les femmes atteintes de SOPK, la NAC améliore la sensibilité à l’insuline et favorise des cycles ovulatoires plus réguliers. Ses effets métaboliques sont parfois comparés à l’action de la berbérine sur la glycémie.
Les hommes bénéficient également de ces propriétés antioxydantes. Des études cliniques ont révélé qu’une supplémentation post-opératoire chez les hommes opérés d’une varicocèle améliorait considérablement la qualité du sperme et les taux de conception globaux.
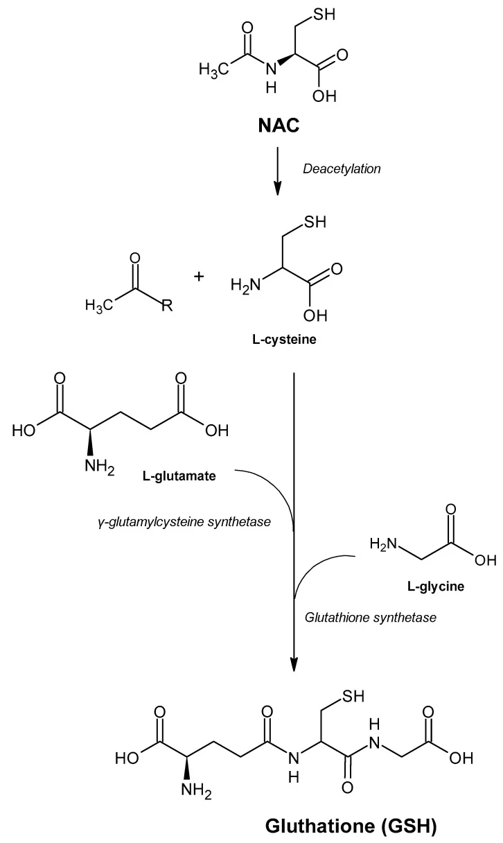
Le mécanisme intracellulaire : NAC et Glutathion
Pour saisir l’impact de ce supplément, il faut plonger au cœur de la cellule. Le glutathion est un tripeptide composé de trois acides aminés : la glutamine, la glycine et la cystéine. Parmi ces trois éléments, la cystéine est le facteur limitant. Si la cellule manque de cystéine, la production de glutathion s’arrête net.
La consommation directe de glutathion oral pose un problème pharmacologique majeur. Les enzymes digestives dégradent rapidement cette molécule complexe avant qu’elle n’atteigne la circulation sanguine. C’est ici que réside toute la subtilité et la différence d’assimilation avec son précurseur direct.

En apportant de la N-acétylcystéine, vous fournissez à vos cellules la matière première exacte dont elles ont besoin, sous une forme hautement assimilable. Une fois à l’intérieur de la membrane cellulaire, la molécule est désacétylée pour libérer la L-cystéine, relançant immédiatement la machinerie antioxydante naturelle du corps.
Cette approche indirecte s’avère bien plus efficace pour augmenter durablement les taux plasmatiques et tissulaires de glutathion, offrant ainsi un bouclier robuste contre l’inflammation systémique et le vieillissement cellulaire prématuré.
Dangers, effets secondaires et le débat sur les antioxydants
Malgré son profil de sécurité bien établi, cette molécule n’est pas exempte de risques. Le principal danger de la NAC réside dans ses interactions médicamenteuses et son impact potentiel sur des pathologies préexistantes. La prudence médicale reste de mise.
Les effets indésirables les plus courants touchent la sphère digestive. Environ 20% des utilisateurs rapportent des nausées légères, des diarrhées ou des brûlures d’estomac. L’odeur soufrée très prononcée (rappelant l’œuf pourri) contribue souvent à cet inconfort gastrique initial.
⚠️ Interactions médicamenteuses sévères
L’association de la NAC avec des dérivés nitrés (comme la nitroglycérine utilisée pour l’angine de poitrine) est formellement déconseillée. Cette combinaison peut provoquer une chute brutale de la tension artérielle et des maux de tête extrêmement violents.
Un débat scientifique complexe entoure l’usage prolongé d’antioxydants puissants. Une étude publiée dans Science par une équipe française a soulevé des inquiétudes concernant l’initiation tumorale. Sur des modèles de souris vieillissantes (déficientes en gène JunD), la supplémentation massive a paradoxalement favorisé le développement de cellules cancéreuses pulmonaires.
Le mécanisme suggéré est contre-intuitif : en réduisant le stress oxydatif, la NAC empêcherait la sénescence naturelle (la mort programmée) des cellules endommagées. Ces cellules défectueuses, au lieu d’être éliminées par le système immunitaire, survivent et peuvent potentiellement muter. Bien que ces données soient issues de modèles murins avec des doses massives, elles incitent à éviter les cures ininterrompues à très haut dosage sans suivi.
Consultez un médecin si…
- Vous souffrez d’asthme sévère (risque rare mais documenté de bronchospasme).
- Vous prenez des médicaments anticoagulants ou antiplaquettaires.
- Vous avez des antécédents de troubles hémorragiques.
- Vous développez des éruptions cutanées inexpliquées après la prise.
Posologie optimale : comment structurer votre cure de NAC
La détermination du bon dosage dépend de l’objectif thérapeutique visé. La posologie de la NAC varie considérablement entre un soutien préventif quotidien et une intervention médicale ciblée. Il est crucial d’adapter la dose à vos besoins réels.
Pour un soutien antioxydant général et une détoxification hépatique douce, la dose standard recommandée oscille entre 600 mg et 1200 mg par jour. Cette quantité est généralement répartie en deux prises distinctes pour maintenir un taux sanguin stable tout au long de la journée.
- Soutien respiratoire (mucus) : 600 mg, 1 à 2 fois par jour, pendant les épisodes de congestion.
- Soutien psychiatrique (TOC, humeur) : Les études utilisent souvent des doses allant de 2000 mg à 2400 mg par jour (sous stricte supervision médicale).
- Protection hépatique préventive : 600 mg par jour en cure de 1 à 3 mois.
Le timing de la prise influence l’assimilation. Les acides aminés entrent en compétition lors de l’absorption intestinale. Il est donc souvent conseillé de prendre vos gélules à jeun, environ 30 minutes avant un repas, ou deux heures après. Si des troubles gastriques surviennent, une prise au cours du repas reste une alternative acceptable.
Il est essentiel de bien choisir votre supplémentation en tenant compte de la forme galénique. Les comprimés effervescents masquent souvent le goût soufré, tandis que les gélules offrent une praticité supérieure pour les dosages élevés.
💡 Conseil de professionnel de santé
L’odeur de soufre (œuf pourri) dégagée par l’ouverture d’un flacon n’est pas le signe d’un produit périmé. C’est au contraire la preuve de la présence active du groupe thiol. Fuyez les produits qui tentent de masquer cette odeur avec des arômes artificiels excessifs.
En Europe et en France, vous pouvez facilement la trouver en officine sous forme de médicaments sans ordonnance (type Mucomyst ou Exomuc) pour la toux grasse, ou dans les rayons des compléments alimentaires spécialisés. Privilégiez toujours les marques transparentes, testées par des laboratoires tiers, garantissant l’absence de métaux lourds et d’excipients controversés.
Vous possédez désormais l’expertise nécessaire pour intégrer intelligemment ce puissant précurseur antioxydant à votre routine de santé, en respectant ses dosages et ses contre-indications spécifiques. Discutez-en dès aujourd’hui avec votre médecin pour définir le protocole le plus adapté à votre métabolisme et à vos objectifs de vitalité.
Données & Statistiques Clés
- Une méta-analyse de 2015 sur 4 155 patients a montré que 1200 mg de NAC réduit significativement les exacerbations de la BPCO (Source 5).
- La biodisponibilité orale de la NAC libre est estimée à moins de 10% en raison d’un métabolisme hépatique rapide (Source 2).
- La concentration plasmatique maximale (Cmax) est atteinte entre 1 et 2 heures après ingestion orale (Source 2).
- L’excrétion rénale de la NAC est d’environ 30% après administration (Source 2).
Questions fréquentes
Pourquoi prendre du N-acétylcystéine ?
Quels sont les dangers de la N-acétylcystéine ?
Quel est le nom commercial de la N-acétylcystéine ?
Est-ce que la NAC est bonne pour le foie ?
Peut-on prendre de la NAC tous les jours ?
Faut-il prendre la NAC à jeun ou avec les repas ?
Quelle est l’odeur normale de la NAC en gélules ?
Sources
Sources principales
- N-Acetylcysteine (NAC): Impacts on Human Health (pmc.ncbi.nlm.nih.gov)
- N-Acetyl-L-Cysteine | C5H9NO3S | CID 12035 (pubchem.ncbi.nlm.nih.gov)
- 12 Benefits of N-Acetylcysteine (NAC) Supplements (verywellhealth.com)
- N-Acetyl Cysteine: A Warning Shot (science.org)

